兆瓦级风电齿轮箱高速齿轮断齿失效分析知识分享-星空体育(中国)官网
兆瓦级风电齿轮箱高速齿轮断齿失效分析知识分享
摘 要:
风电齿轮箱是风机传动链的重要组成部分,其中高速级齿轮工作环境复杂多变,失效破坏易发,极易引发齿轮箱的故障,甚至带来灾难性后果而停机。实时状态监测及故障诊断,对于确保风机正常运行尤为重要。基于振动信号的风机故障诊断研究方法层出不穷,然而现有的方法对具体型号风机不具有普适性。因此,该文对在齿轮失效特征归类总结的基础上,选取高速齿轮断齿时的振动信号,通过小波变换对原信号消噪,有效辨识边频带特征,以反映齿轮失效程度;进而通过频谱变换获得频域特征,以反映齿轮失效的类型。结果表明,断齿发生时,时域上幅值有周期性冲击,周期为转速的倒数。频域上,转频的5倍频均有大幅增加,甚至达到127倍;高转速下啮合频率2倍边频带不对称性更为明显,3倍频幅值增加达4.4倍;断齿失效下会引起该型号风机1200~1500Hz频段的共振现象,研究结果可作为该型号风机断齿失效诊断的基础数据。星空体育(中国)官网
引言
兆瓦级风力发电机长期工作于野外,工作环境恶劣。其中,齿轮箱高速级齿轮转速高、受载频繁,更易发生失效,甚至间接引起其他零部件的失效。这些失效不断发展,直至发生重大事故而停机,严重影响风电企业的效益。为了及早发现齿轮失效,制定相应维修策略,通常利用采集齿轮振动信号来分析运行状态的方法。在对振动信号的分析中,强噪下微弱失效特征、复合故障诊断是当今机械故障诊断领域的难点。
对于齿轮振动信号分析,研究人员提出了很多有效的方法。对采集的风机振动信号消噪方面,现在研究较多基于小波变换、经验模态分解等的消噪方法。
即先将信号进行多层分解,在每层分别设置阈值消除噪声成分,最后经过重构信号以达到消除噪声凸显失效特征的目的。在特征提取方面,由于风机振动信号的非平稳性、非线性的特性,时域特征的提取并没有取得明显的效果,对风机振动信号的特征提取主要集中在频域和时频域上。在频域上的特征提取包括频谱、倒频谱、功率谱、高阶谱、解调谱和阶比谱分析等。时频联合分析能有效对非平稳信号进行分析和处理,从中提取故障信号中所包含的特征信息,主要有短时傅里叶变换、小波变换、希尔波特黄变换和EEMD等。
虽然科研人员围绕风机齿轮箱的失效诊断开展了大量的研究,采用了各种消噪、特征提取的方法,但具体到某型号风机则需要对齿轮失效普适性规律细节化,以提高失效诊断的准确性。因此,该文在对风机齿轮失效特征归类总结的基础上,对一风场某型号大功率风机齿轮箱高速级齿轮断齿失效的振动信号进行小波消噪和频域特征提取,以期建立断齿失效的判据为该型号风机的故障诊断提供基础数据。
1、齿轮失效特征归类概述
兆瓦级风机齿轮箱工作环境更加复杂,交变载荷以及运行速度的时刻改变给齿轮失效类型的准确诊断和定位带来了很大困难。除了齿轮长期运行逐渐积累的失效,风力齿轮箱的复杂运行环境使随机冲击带来失效也时常发生。为此,该文结合齿轮失效机理和失效演化过程对不同失效类型的特征进行归类分析,以便更加快速判断失效程度和类型。
齿轮正常啮合、发生分布式失效、局部失效3种情况,对其时域、频域特征进行具体分析。发生断齿失效时,在断齿处将会产生很大的冲击,在时域上表现为幅值的规律性增大;在频域上体现为啮合频率及其倍频的边频带数量增加,幅值增大,分布变广,同时由于冲击会引起齿轮箱某阶固有频率,产生共振带。当齿轮发生分布式失效时,如齿轮发生均匀磨损时,会导致传动间隙增加进而引起齿轮啮合点相对位置的变化,从而使激励成分发生变化。在频谱表现为旋转频率、啮合频率及其倍频的位置不发生变化,但幅值增大,即会产生啮合频率及其倍频的幅值增大的现象,同时振动信号会激发以转频为间隔的啮合频率边频带。这是由于分布式失效的啮合线相较于正常啮合时发生一定变化,啮合的平稳性受到破坏,冲击能量增大,使振动的幅值也相应增加。啮合频率幅值,边频带的振动幅值更加敏感于齿轮的磨损。因此,边带效应所对应的幅值变化是判断齿轮是否存在磨损的重要指标,同样当齿轮磨损严重时,其啮合频率的高次谐波也将更加明显。
2、信号消噪
兆瓦级风电机组工作环境恶劣,采集的振动信号除了包含有随机噪声外,风机塔筒的低频振动等也会与系统的振动信号产生调制,如图1所示。

图1 信号幅值调制过程
齿轮某些失效特征比较微弱,容易淹没于噪声中。为了更好地提取故障特征,需要对采集的振动信号进行预处理,以尽可能消除噪声对特征提取的影响。传统的数字滤波器如IIR、FIR滤波器只能实现低通、带通或高通等一定频带内的数字滤波,对于非平稳的风机振动信号消噪效果并不理想,而小波消噪在非平稳振动信号消噪方面取得了良好的结果。其原理如图2所示。

图2 小波消噪原理
从原理可知,小波消噪的关键在于以下3个方面:选择合适的小波基;设置合理的阈值;确定合理的分解层数。目前,小波基的选择并没有标准的理论依据,要根据不同的振动信号选择不同的小波基。当振动信号波形与小波基波形相似度越大时,小波基的选择越合适。对于实际的振动信号,需要做大量试验来确定合适信号的小波基函数。同时在选择小波基时,小波的对称性、平滑性也是需要考虑的,而三者之间又相互制约,一般要综合考虑来实现三者的相对平衡。
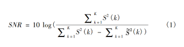
对于去噪后的效果评价通常有2个条件,即信噪比SNR和均方根误差RMSE,一般综合分析两者之后再考虑去噪性能的优劣。假设S(k)为原始信号,图片(k)为消噪后的信号,SNR的定义如式(1)所示。

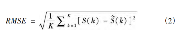
RMSE均方根误差定义如式(2)所示。

信噪比越大去噪效果越好,均方根误差越小重构的信号与有用信号的接近程度越大。
3、复合故障实例分析
西北某风场1.5MW风机齿轮箱有振动和异响,经现场检查发现风机存在有断齿失效,如图3所示。

图3 断齿失效
对采集的该风机振动信号进行时域、频域的分析,以为后期建立此类风机振动特性数据库提供基础数据。该风机失效齿轮振动信号采样频率为51200Hz,采样时间为2.5S,选取该齿轮在1800r/min下的振动信号进行分析。其相关参数如表1所示。
表1 1800r/min齿轮运行参数

3.1小波消噪处理
在对实际采集的振动信号进行消噪时,首先要选择小波基。在选择小波基时要从以下5个方面考虑,即支撑长度、对称性、消失矩、正则性和相似性。如果小波基的支撑长度太长,会产生边界问题,太短又会使消失矩变低,不利于能量集中。在保证小波基波形与原始信号尽可能相似的情况下,综合考虑选择消失矩和支撑长度。因此,选择DbN,symN,coifN小波基,通过评价指标最终确认小波基及其相关参数。
首先对DbN系列小波的去噪效果作对比,以选出针对该振动信号去噪效果较好的小波基。选择db系列小波,分解层数5层,阈值规则选为Fixed form threshold,各小波基消噪效果如图4所示。

图4 不同小波基消噪效果对比
从图4的曲线变化趋势可知,当小波基为db8时,具有最大的信噪比和最小的均方根误差,选择该小波基可以选择较优的去噪效果。然后对比不同分解层数对消噪效果的影响,如图5所示。图5中在分解层数为5层时,具有较高的信噪比。

图5 分解层数消噪效果对比
确定了小波基和分解层数后,需要对比不同阈值规则对消噪效果的影响,如图6所示。

图6 不同阈值规则消噪效果对比
当阈值规则选择Rigorous SURE(SNR=26.477,RMSE=0.2387)时,其消噪效果远优于Fixed form threshold(SNR=9.2174,RMSE=1.7414)。最终,对于该振动信号,dbN系列小波选择db8小波基,5层分解层数,RigorousSURE硬阈值时,可以取得较好的消噪效果。采用同样的方法对sym系列小波进行选择。最终,symN系列小波选择结果为:Sym10,5层分解层数,RigorousSURE硬阈值。此时,信噪比SNR=26.5788,均方根误差RMSE=0.2360。对比db8小波消噪效果,小波基为sym10相较于前者具有更优的信噪比和均方根误差。最终选择sym10为该振动信号消噪。对振动信号实际消噪效果如图7所示。

图7 小波去噪前后对比
经过小波消噪后,提高了信号的光滑性,保留了信号的局部特性;信号的振动变化趋势更加明显,细节特征分辨更加清楚。
3.2失效特征分析
该型号风机发生断齿失效时,其时域波形如图8所示。

图8 断齿时域
从图8可知,发生断齿时,在时域具有明显的周期性冲击。冲击峰值间隔约为125ms,为主动轮转频(7.94Hz)的倒数。
分析图9频谱图,从整体频谱图9a可知,该转速下转频的5倍频幅值有较为明显的增加。其具体细节如图9b所示,转频的5倍频幅值(0.03198m/s2)是1倍转频幅值(0.01214m/s2)的2.6倍;啮合频率的幅值(0.06721m/s2)约等于或远低于2倍(0.06045m/s2)、3倍啮合频率幅值(0.2988m/s2)。而且2倍啮合频率处存在以转频及其倍频为间隔的边频带,边频带呈不对称分布,2倍啮合频率的高频侧边频带幅值远大于低频侧,在啮合频率的其他倍频并无明显边频带出现。


图9 断齿失效频谱
在啮合频率及其2倍频之间存在幅值异常增大的边频带,是由断齿引起的齿轮某阶共振频率。同时,对振动系统采集的其他时段的振动信号进行分析。这些数据主要采集时间为9d,采集时间间隔为4h,共计49组数据。其中,转速为0的数据4组,转速极小的数据4组,剔除后所剩数据41组。这些数据的转速在1012~1822r/min。为了便于研究,根据转频幅值大小将数据分为3组,即1012~1235r/min,1399~1620r/min,1700~1822r/min。
在高速与相对低的转速之间时,即1399~1620r/min转速范围内,转频及其倍频的幅值差异更加明显。如5倍转频幅值平均是1倍转频幅值的59.2倍,最高甚至达到159.41倍。而在其他转速下,平均差异分别为较低转速下的0.47倍和高转速下的7.0倍。
可见,在研究振动信号的转频特征时,从1399r/min和1620r/min转速范围内更易提取。从啮合频率可知,其2倍频的边频带更易发现不对称的特征,其他倍频主峰值远高于边频带,特性不明显。虽然发生断齿后,共振带一直存在于振动信号中,但它更易淹没较低转速下的信号,影响特征的提取。
4、结论
(1)小波分析在处理风机振动信号的噪声消除方面具有优越性,在对该型号风机消噪时,选择sym10小波基,5层分解层数,并选择Rigorous SURE硬阈值能取得比较理想的去噪效果。
(2)研究该型号风机的转频特性时,低于高速下的一定转速范围内特征更加明显。
(3)该型号的风机系统的共振频率在1325~1500Hz范围内,在进行系统的故障特征分析时应该尽量避免选择啮合频率的2倍和3倍频落在该范围内,以免啮合频率的倍频与该共振频率叠合,影响故障特征的识别。星空体育(中国)官网